행렬 곱셈의 해석
행렬을 여러 개의 원소로 이루어져 있는데 다음과 같이 1) 열에 대한 벡터들 또는 2) 행에 대한 벡터들로 이루어져 있다고 생각할 수 있습니다.

결과는 모두 동일하지만 어떤 식으로 보냐에 따라 해석을 다르게 해석할 수 있기 때문에 오늘은 각각의 곱셈 결과에 대해 해석해보려 합니다.
1) 내적과 외적 표현
① 내적

내적 연산의 결과는 스칼라가 됩니다.
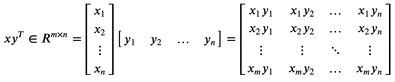
② 외적

외적 연산의 결과는 행렬이 됩니다.
2) 행렬과 벡터 곱에 대한 표현
① 행벡터에 대한 곱셈

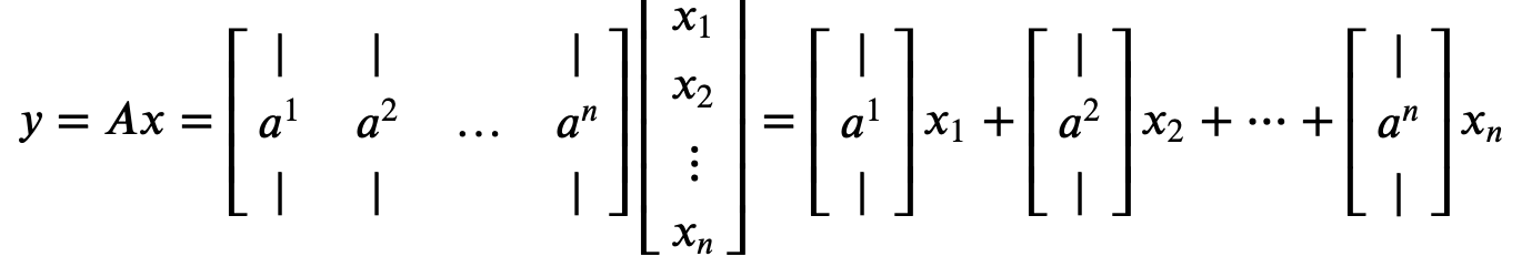
② 열벡터에 대한 곱셈

열벡터에 대한 합으로 나타내면 선형결합으로 해석할 수 있습니다.
각각에 열벡터값을 가중치라 생각하면 벡터 x에 대해 가중치를 곱하는 연산으로도 해석할 수 있습니다.
머신러닝 알고리즘이나 퍼셉트론 등을 해석할 때는 열벡터에 대한 곱셈으로 해석하여 각 노드에 가중치를 곱해주는 연산으로 생각하는게 이해하기 편합니다.
2) 두 행렬의 곱셈
① vector-vector 연산으로 해석

기존에 알고 있던 행렬의 계산 방법으로 vector와 vector의 곱으로 행렬의 곱셈을 해석할 수 있습니다.
② 외적의 합

앞에 곱해지는 행렬을 열벡터로, 뒤에 곱해지는 행렬을 행벡터로 곱셈 연산을 하면 총 n개의 행렬이 나옵니다.
각 행렬들은 ai와 bi 벡터의 외적 연산 결과로, 외적결과인 n개의 행렬을 모두 더하여 구한다고 해석할 수 있습니다.
③ matrix-vector 연산으로 해석

앞에 곱해지는 행렬은 그대로 행렬로, 뒤에 곱해지는 행렬은 열벡터로 이루어진 행렬로 생각할 수 있습니다.
이렇게 계산하면 행렬 B의 각 열벡터에 행렬 A를 곱해준다 생각할 수 있습니다.
④ vector-matrix 연산으로 해석

이번에는 앞에 곱해지는 행렬 A를 행벡터로 이루어진 행렬로, 뒤에 곱해지는 행렬은 그대로 행렬로 생각하여 연산을 했습니다.
이렇게 계산하면 행렬 A의 각 행벡터에 행렬 B를 곱해준다 생각할 수 있습니다.
머신러닝 알고리즘과 추천 시스템을 공부하면서 행렬 연산이 많이 나와서 다시 선형대수학을 공부하고 있습니다.
파라미터 가중치를 계산하기 위해 행렬 연산이 많이 사용되는데, 보통 가중치를 행렬로 두어 파라미터값을 계산하는 방식으로 많이 해석되는 것 같습니다.