이진 탐색 트리를 구현하기에 앞서 기본적인 트리의 구현을 해보려 한다.
오늘 구현할 트리는 별도의 기능을 갖지 않고 트리의 순회를 중점적으로 보려 한다.
순회란 트리를 돌면서 어떤 원소가 있는지 확인하는 작업을 말한다.
이 때 어느 원소를 먼저 보는지에 따라 순회의 종류가 달라진다.
트리의 순회는 재귀 방법으로 쉽게 구현할 수 있다.

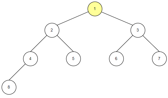
위의 트리를 코드로 구현해 보자
1. 트리의 구조
class Node(object):
def __init__(self, item):
self.item = item
self.left = self.right = None
class BinaryTree(object):
def __init__(self):
self.root = None
- Node class에서 item원소는 루트(노드)가 갖는 값을 저장하는 변수
- left와 right는 각각 루트의 자식 노드를 가리킨다
- BinaryTree class는 빈 root만을 갖고 Node원소로 초기화 시켜준다
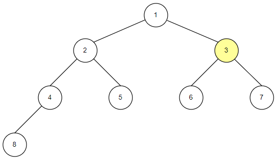
2. 전위순회
- 전위 순회는 자식 노드를 확인하기 전에 서브 트리의 루트를 먼저 확인한 후에 자식 노드를 확인하는 순회 방법이다.
- 자식 노드를 확인할 때는 왼쪽 노드부터 확인한다.








전위 순회의 구현
def preorder(self):
def _preorder(node):
print(node.item, end=' ')
if node.left:
_preorder(node.left)
if node.right:
_preorder(node.right)
_preorder(self.root)

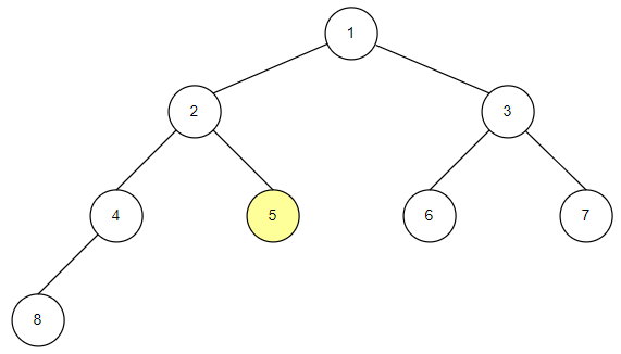
3. 중위순회
- 중위순회는 왼쪽 자식 노드, 루트 노드, 오른쪽 자식 노드 순으로 값을 확인하는 방식이다.
- 자식 노드를 확인하고 밑에 자손 노드들이 있다면 자손 노드들도 동일한 방식으로 확인한다.








중위 순회의 구현
def inorder(self):
def _inorder(node):
if node.left:
_inorder(node.left)
print(node.item, end=' ')
if node.right:
_inorder(node.right)
_inorder(self.root)

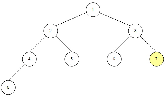
4. 후위 순회
- 후위 순회는 자식 노드를 모두 확인한 후에 루트 노드를 확인하는 순회 방법이다.
- 자식 노드의 자손 노드가 존재한다면 동일한 방식으로 모두 확인한다.








후위 순회의 구현
def postorder(self):
def _postorder(node):
if node.left:
_postorder(node.left)
if node.right:
_postorder(node.right)
print(node.item, end=' ')
_postorder(self.root)

5. 레벨 순회
- 레벨 순회는 각 레벨마다의 노드를 탐색하는 방법이다.
- 큐를 이용해 구현할 수 있다.








from collections import deque
def levelorder(self):
q = deque([self.root])
while q:
node = q.popleft()
print(node.item, end=' ')
if node.left:
q.append(node.left)
if node.right:
q.append(node.right)

전체 코드
from collections import deque
class Node(object):
def __init__(self, item):
self.item = item
self.left = self.right = None
class BinaryTree(object):
def __init__(self):
self.root = None
def preorder(self):
def _preorder(node):
print(node.item, end=' ')
if node.left:
_preorder(node.left)
if node.right:
_preorder(node.right)
_preorder(self.root)
def inorder(self):
def _inorder(node):
if node.left:
_inorder(node.left)
print(node.item, end=' ')
if node.right:
_inorder(node.right)
_inorder(self.root)
def postorder(self):
def _postorder(node):
if node.left:
_postorder(node.left)
if node.right:
_postorder(node.right)
print(node.item, end=' ')
_postorder(self.root)
def levelorder(self):
q = deque([self.root])
while q:
node = q.popleft()
print(node.item, end=' ')
if node.left:
q.append(node.left)
if node.right:
q.append(node.right)
BT = BinaryTree()
N1 = Node(1)
N2 = Node(2)
N3 = Node(3)
N4 = Node(4)
N5 = Node(5)
N6 = Node(6)
N7 = Node(7)
N8 = Node(8)
BT.root = N1
N1.left = N2
N1.right = N3
N2.left = N4
N2.right = N5
N3.left = N6
N3.right = N7
N4.left = N8
print('preorder')
BT.preorder()
print('\ninorder')
BT.inorder()
print('\npostorder')
BT.postorder()
print('\nlevelorder')
BT.levelorder()
'CS > 자료구조' 카테고리의 다른 글
| [자료구조] 우선순위 큐(Priority Queue) (0) | 2022.03.16 |
|---|---|
| [자료구조] 힙(Heap) (0) | 2022.03.15 |
| [자료구조] 트리(Tree) (5) | 2021.04.24 |
| [Python] 큐 구현 (0) | 2021.04.24 |
| [Python] 이중 연결리스트 구현 (1) | 2021.04.24 |