zenn.skin 무료버전 배포중!
자세히보기

Math/Linear Algebra 11

Math/Linear Algebra
행렬 곱셈의 해석

행렬을 여러 개의 원소로 이루어져 있는데 다음과 같이 1) 열에 대한 벡터들 또는 2) 행에 대한 벡터들로 이루어져 있다고 생각할 수 있습니다. 결과는 모두 동일하지만 어떤 식으로 보냐에 따라 해석을 다르게 해석할 수 있기 때문에 오늘은 각각의 곱셈 결과에 대해 해석해보려 합니다. 1) 내적과 외적 표현 ① 내적 내적 연산의 결과는 스칼라가 됩니다. ② 외적 외적 연산의 결과는 행렬이 됩니다. 2) 행렬과 벡터 곱에 대한 표현 ① 행벡터에 대한 곱셈 ② 열벡터에 대한 곱셈 열벡터에 대한 합으로 나타내면 선형결합으로 해석할 수 있습니다. 각각에 열벡터값을 가중치라 생각하면 벡터 x에 대해 가중치를 곱하는 연산으로도 해석할 수 있습니다. 머신러닝 알고리즘이나 퍼셉트론 등을 해석할 때는 열벡터에 대한 곱셈으로..

Math/Linear Algebra
론스키안 행렬식(Wronskian Determinant)

1. 론스키안 행렬식(Wronskian Determinant) 론스키안 행렬식은 유한 개 함수들이 일차독립인지 확인하기 위한 도구입니다. 론스키안 행렬식의 값이 0이 아닐 때는 이 함수 집합은 모두 일차독립이 됩니다. 반면, 행렬식의 값이 0이 되면 함수 집합은 일차종속이 됩니다. 2. 증명 함수집합이 구간 I에서 일차종속일 경우 아래식을 만족합니다. 이를 행렬에 대한 식으로 나타내면 다음과 같습니다. n-1번 미분한 식에 대한 행렬과 계수에 대한 곱을 표현하면 아래와 같이 나타낼 수 있습니다. k1, k2 ..., kn은 일차종속이기 때문에 자명하지 않은 해를 갖습니다. 따라서 행렬식의 값은 0이 됩니다. 반대로 일차독립인 경우 행렬식의 값은 0이 아니게 됩니다.

Math/Linear Algebra
내가 보려고 정리하는 행렬 계산 정리

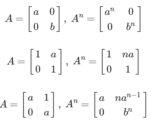
1. 행렬 거듭제곱 2. trace 성질 3. determinant 계산 1) 샤루스 정리 2) 라플라스 전개 4. 행렬식(determinant) 연산 서로 다른 행이 실수배인 경우 det = 0 서로 다른 열이 실수배인 경우 det = 0 하나의 행 또는 열을 상수배한 후 다른 행 또는 열에 더해도 행렬식 값은 동일 5. 대각행렬(diagonal matrix) 연산 대각행렬을 임의 행렬 앞에 곱할 경우 -> 각 행의 배수 대각행렬을 임의 행렬 뒤에 곱할 경우 -> 각 열의 배수 6. 삼각행렬(triangular matrix) 연산 A, B가 모두 상 삼각행렬일 때, AB도 상 삼각행렬 A, B가 모두 하 삼각행렬일 때, AB도 하 삼각행렬 7. 대칭행렬(symmetric matrix)

Math/Linear Algebra
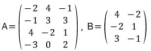
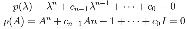
케일리-해밀턴 정리(Cayley-Hamilton theorem)

1. 케일리-해밀턴 정리(Cayley-Hamilton theorem) 케일리-해밀턴 정리는 정방행렬(square matrix)이 자신의 특성 방정식을 만족한다는 정리입니다. 케일리-해밀턴 정리를 사용하면 행렬의 차수를 줄일 수 있습니다. 이 때 케일리-해밀턴 정리를 적용하는 행렬은 단위행렬의 실수배가 아닌 행렬이어야 합니다. 행렬 A가 p라는 특성 방정식을 가질 때, 행렬 A는 자신의 특성 방정식을 만족합니다. 사실 위의 식과 아래 식은 같은 식이 아닙니다. 첫번째 함수는 입력값으로 실수를 받고 실수를 반환하는 함수이고 두번째 함수는 입력값으로 행렬을 받아 행렬을 반환하는 함수입니다. 다시 선형대수학을 공부하고 있어서 케일리-해밀턴 정리에 대한 증명은 좀 더 공부를 한 후에 확인해보려 합니다. 2. 케일..

Math/Linear Algebra
행렬의 고유값/고유벡터

1. 고유값 - 행렬A가 주어질 때, 다음을 만족하는 λ를 고유값, x를 고유값λ에 대한 고유벡터라 한다. 0이 아닌 해가 존재하기 위해서는 det(A-λI)=0을 만족해야 한다. 이 때의 행렬식 det(A-λI)=0을 특성방정식이라 한다. ex) 다음과 같은 행렬이 주어질 때, 주어진 행렬에 대한 고유값을 구할 수 있다. 따라서 고유벡터는 x1=1, x2=2 가 된다. 2. 고유값의 의미 행렬A를 선형변환으로 볼 때, 벡터x에 선형변환을 취하면 벡터x의 크기와 방향이 바뀌게 된다. 이 때, 크기는 변하지만 방향은 변하지 않는 벡터가 존재할까? 위에서 설명한 고유벡터는 크기만 고유값 λ배만큼 변하고 방향은 변하지 않는다. 3. 특성방정식의 계산 - 직접 고유값과 고유벡터를 구할 때, 시간이 오래 걸리는데..

Math/Linear Algebra
행 사다리꼴, 기약 행 사다리꼴

1. 기본 행 연산 - 행렬 A에 대한 다음의 3가지 연산을 '기본 행 연산'이라 한다. - 기본 행 연산을 거친 것을 '행 동치'라 한다 - 정방인 항등행렬을 한 번 행 연산한 행렬을 '기본행렬'이라 한다 - 선도 1을 포함하는 행의 개수를 주어진 행렬의 계수(rank)라 한다 - rank를 알면 역행렬이 존재하는지 판별할 수 있다 (1) 2 행을 서로 바꾼다 (2) 임의의 행에 0이 아닌 상수를 곱한다 (3) 임의의 행에 0이 아닌 상수를 곱한 후 다른 행에 더한다 2. 행 사다리꼴(REF) - m x n 행렬 A가 기본 행 연산을 한 후 다음 조건을 만족하면 행렬 A를 행 사다리꼴이라 한다. (1) 0으로만 이루어진 행은 행렬의 맨 아래 존재한다 (2) 0이 아닌 원소를 갖는 행의 첫 수는 1이어야..

Math/Linear Algebra
numpy - dot, 행렬의 곱셈

이전에 c++를 사용해 행렬곱을 구현한 적이 있었다. 파이썬에서는 numpy 라이브러리를 이용하면 간단하게 행렬곱을 구할 수 있다. - 다음과 같이 A와 B가 주어질 때, 행렬곱의 결과는 다음과 같다 1. numpy.matmul import numpy as np A=[[2,4,-1],[-1,3,3],[4,-2,1],[-3,0,2]] B=[[4,-2],[-2,1],[3,-1]] result=np.matmul(A,B) print(result) matmul 함수에 행렬 A와 B를 넣으면 행렬곱을 구할 수 있다. 하지만 행렬에 스칼라곱을 하면 에러가 발생한다. import numpy as np A=[[2,4,-1],[-1,3,3],[4,-2,1],[-3,0,2]] B=3 result=np.matmul(A,B) ..

Math/Linear Algebra
가우스-조단 소거법

1. 가우스-조단 소거법? 가우스-조단 소거법은 선형방정식들이 주어질 때, 변수들을 체계적으로 소거하여 해를 구하기 위해 사용하는 방법이다. 다음 3가지 연산을 반복적으로 적용해 해를 구한다. - 한 방정식에 0이 아닌 상수를 곱한다 - 방정식들의 위치를 서로 교환한다 - 한 방정식에 0이 아닌 상수를 곱하여 다른 방정식에 더한다 가우스-조단 소거법은 크게 2단계로 이루어진다. [1단계]전향소거법 : 각 방정식에다 다른 식의 계수와 반대가 되도록 적절한 상수를 곱한 후 두 식을 더해 변수를 소거 [2단계]역대입법 : 방정식으로부터 하나의 변수값을 구한 후 다른 방정식들로부터 해를 도출 2. 가우스-조단 소거법을 이용한 해 구하기 -다음과 같은 선형시스템이 주어졌을 때 해를 구해보자 1)전향소거법 - 전향..